Maintenance for the week of April 6:
• PC/Mac: No maintenance – April 6

Maelstrom destro staff question.

Lafer
Lafer
✭✭
Ok here is my question i had a nirn fire destro staff of torug without the 2nd set piece.So basicly if a plain fire destro and i just got an maelstrom ice destro sharpned.Do you think this staff will deal more damage in general or not ?
Healordiet templar healer
Gigi Lafer magicka Sorc
Tankotank Dk tank
Ebonpact cp531 Na Ps4.

Quebec Machine leader.
  • Acsvf
    Acsvf
    ✭✭✭
    It depends; that isn't enough information to decide.
    @LightArray
    Lightarray Level 50 Dunmer Magicka Templar Healer

    CP: 192

    Add @Acsvf when quoting me to give me a notification!
  • Lafer
    Lafer
    ✭✭
    I usualy use 3 will power 5 juli 2 kena and an torug destro staff without the first bonus of fire with the nirn trait.
    I want to know if a sharped destro of ice would be better then this for my dps or not.
    Healordiet templar healer
    Gigi Lafer magicka Sorc
    Tankotank Dk tank
    Ebonpact cp531 Na Ps4.

    Quebec Machine leader.
  • code65536
    code65536
    ✭✭✭✭✭
    ✭✭✭✭✭
    I have a friend who tested this out when he got his ice staff. And yes, it does do more DPS.

    Of course, if you're a Dunmer DK, you'll probably still want to stick with fire, but otherwise, there really isn't substantial disadvantage with ice. The main difference is with fully-charged heavies, but, seriously, how many fully-charged heavies anyway do you use, anyway?
    Nightfighters ― PC/NA and PC/EU

    Dungeons and Trials:
    Personal best scores:
    Dungeon trifectas:
    PC/Console Add-Ons: Combat AlertsGroup Buff Panels
    Media: YouTubeTwitch
  • Lafer
    Lafer
    ✭✭
    Thanks no im a magicka high elf sorc.imma try it out tonite in vma.
    Healordiet templar healer
    Gigi Lafer magicka Sorc
    Tankotank Dk tank
    Ebonpact cp531 Na Ps4.

    Quebec Machine leader.
  • Asayre
    Asayre
    ✭✭✭✭✭
    Use the sharpened Maelstrom staff

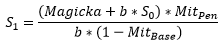
    When comparing between a non-set ninrhoned staff and a sharpened Maelstrom staff we need to consider the spell damage equivalence of the additional 4% penetration. This can be done by calculating the spell damage equivalence of penetration. Let T1 be the base damage with spell damage, S0, and additional spell damage, S1, and T2 be the base damage with spell damage, S0, with no extra spell damage but additional %Penetration. Then
    1062a2552e8432cb5ac5a735a6657169.png
    where a is the skill coefficient and b is ~10.5. I’ve separated the mitigation formula into two parts as follows
    904c1a70d2685b17dd08f588692741c6.png
    We then need to find S1 when T1=T2
    e9e33bf287f9ea3c5624eeb5c0ec3d5f.png
    For a Sorcerer at the CP cap with 5 Julianos, 2 Kena, 3 Willpower and assuming 3 Sorcerer abilities equipped, I predict a max magicka of 43487 and spell damage of 3352. If we then use a typical boss value of 18k, flat penetration of 5063 (100 base, 4884 concentration, 79 (1 point) Spell Erosion) then 4% penetration is estimated to be equivalent to
    5f2b7b785f2636c22fc2f3c66106729c.png
    This is less than the Maelstrom enchantment thus a sharpened Maelstrom staff is preferred over a non-set nirnhoned staff.
    Edited by Asayre on March 2, 2016 5:07PM
    Reference for any calculation I make Introduction to PvE Damage Calculation
  • optouter
    optouter
    Awesome info Asayre. Looking at the numbers would I be correct in saying that a precise staff would be worse than a nirn. staff? Finally got a precise fire staff and wondering if I should keep grinding for the sharpened. Thanks.
  • Asayre
    Asayre
    ✭✭✭✭✭
    It depends on the resistance of the mob. For most bosses a nirnhoned staff will be superior. However I'm not so certain of the resistance of trash mobs so I'm not confident on that part

    Using the average damage formula
    e995b693d79ddd54a686d9e83032b48d
    It is possible to calculate the threshold resistance when nirnhoned is better than sharpened
    eac5f767b33bb79a9944ffdd2c027505.png
    Using some of the values from before and a critical chance of 65% and a critical modifier of 0.69, the threshold resistance is
    0f246c2b62dd44d2008727e4051e7f3b.png
    Reference for any calculation I make Introduction to PvE Damage Calculation
  • optouter
    optouter
    Thanks
  • Jsmalls
    Jsmalls
    ✭✭✭✭✭
    I think it's ridiculous that the vMA destro staff is more times than not out classed by almost any Nirnhorned staff.

    Nirnhorned has become a rather easy trait to get, especially when compared to a good roll on a vMA staff.

    And for Asayre's calculations the only trait that can even complete with a Nirnhorned trait is sharpened, but if you account for the 3rd set item bonus a Nirnhorned staff can give it wins out in every position other than when running a 2 piece monster set. (You can run 2 pcs Torug Pact or any 2 pieces that gives max Magicka in your gear line up) and when factoring that in you're gaining way more than the 43 spell damage equivalent that the Sharpened vMA staff provides.

    Rather frustrating if you ask me.

    (Disclaimer I don't know the numbers for precise vMA staff vs Nirnhorned but I believe I read Nirnhorned is higher DPS in most scenarios)

    Especially with that laughable enchant for wall of elements :D
Sign In or Register to comment.